Trong hệ thống điện công nghiệp, biến tần là gì là một câu hỏi rất phổ biến. Hiểu đơn giản, biến tần là thiết bị điện tử có khả năng thay đổi tần số của dòng điện xoay chiều (AC) đặt lên động cơ.
Thông qua việc điều chỉnh tần số này, biến tần có thể điều khiển tốc độ động cơ một cách vô cấp (mượt mà) mà không cần dùng đến các hộp số cơ khí phức tạp. Thiết bị này sử dụng các linh kiện bán dẫn công suất để đóng ngắt dòng điện, tạo ra từ trường xoay làm quay động cơ.
Biến tần có nhiều loại khác nhau, từ 1 pha 220V, 3 pha 220V/380V/660V, và các dòng chuyên dụng cho từng ứng dụng như bơm quạt, nâng hạ, thang máy, HVAC.

Tại Sao Phải Sử Dụng Biến Tần?
Biến tần được sử dụng để thay đổi tốc độ động cơ xoay chiều một cách linh hoạt và hiệu quả. Bằng cách điều chỉnh tần số (f) trong công thức Tốc độ = (120 x f) / P, biến tần cho phép kiểm soát tốc độ vô cấp mà không cần thay đổi cấu tạo cơ khí của động cơ.

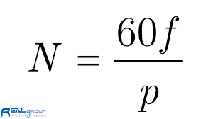
Mục đích cốt lõi của biến tần là thay đổi tốc độ động cơ xoay chiều. Công thức cơ bản tính tốc độ động cơ là:
Tốc độ (rpm) = (120 x f) / P
Trong đó:
- f là tần số của nguồn điện (Hz).
- P là số cặp cực của động cơ.
Để thay đổi tốc độ động cơ, chúng ta có thể thay đổi P hoặc f. Tuy nhiên, việc thay đổi P (số cặp cực) là không khả thi vì nó là cấu tạo cố định của động cơ. Do đó, thay đổi tần số f thông qua biến tần là phương pháp linh hoạt và hiệu quả nhất. Nó cho phép điều chỉnh tốc độ mượt mà từ 0-400Hz (thường là 0-60Hz cho động cơ phổ thông), đáp ứng chính xác yêu cầu công nghệ.
Chuyên viên tư vấn & Báo giá
Ms. Khuyên Bùi
Cấu Tạo Của Biến Tần
Cấu tạo biến tần gồm 5 khối chính: 1. Bộ chỉnh lưu (biến AC thành DC), 2. Bộ lọc (làm phẳng DC), 3. Bộ nghịch lưu (biến DC thành AC với tần số tùy chỉnh), 4. Mạch điều khiển (bộ não xử lý), và 5. Mạch bảo vệ (quá tải, quá áp…).

Một biến tần hiện đại có cấu tạo tương đối phức tạp, nhưng về cơ bản bao gồm các khối chính sau:
- Bộ chỉnh lưu (Rectifier): Thường dùng Diode, có chức năng biến đổi nguồn dòng điện xoay chiều (AC) đầu vào thành nguồn điện DC (một chiều).
- Bộ lọc (DC Link/Filter): Sử dụng các tụ điện dung lượng lớn để san phẳng điện áp DC sau khi đã chỉnh lưu.
- Bộ nghịch lưu (Inverter): Là trái tim của biến tần, sử dụng linh kiện bán dẫn công suất (thường là IGBT) để “băm” điện áp DC thành dòng điện AC 3 pha đối xứng với tần số và biên độ có thể điều chỉnh được.
- Mạch điều khiển (Control Circuit): Là “bộ não” của biến tần, nhận tín hiệu điều khiển, lập trình và tạo ra các xung tín hiệu (PWM) để điều khiển hoạt động của khối IGBT.
- Mạch bảo vệ: Tích hợp các chức năng bảo vệ quá tải, quá dòng, quá áp, thấp áp, mất pha… hoạt động tương tự như các thiết bị bảo vệ chuyên dụng như Aptomat hay MCCB.
- Bộ phận khác: Bao gồm màn hình hiển thị, bàn phím cài đặt, các cổng truyền thông, điện trở hãm (cho các tải có quán tính lớn),…
Nguyên Lý Hoạt Động Của Biến Tần
Biến tần hoạt động bằng cách: 1. Chỉnh lưu và lọc nguồn điện AC đầu vào thành nguồn DC phẳng. 2. Dùng bộ nghịch lưu (IGBT) để ‘băm’ nguồn DC thành nguồn AC 3 pha với tần số và điện áp có thể điều chỉnh được (thông qua phương pháp PWM) để cấp cho động cơ.

Nguyên lý hoạt động của biến tần có thể tóm tắt qua 3 bước chính:
- Chỉnh lưu & Lọc: Nguồn điện đầu vào (1 pha hoặc 3 pha, ví dụ 380V 50Hz) được đưa qua bộ chỉnh lưu (cầu diode) và bộ lọc (tụ điện). Nguồn AC được biến đổi thành nguồn điện áp DC phẳng và ổn định.
- Nghịch lưu (PWM): Điện áp DC này được đưa tới khối IGBT (linh kiện bán dẫn công suất). Mạch điều khiển sẽ phát xung PWM (Pulse Width Modulation – Điều chế độ rộng xung) để đóng ngắt các IGBT theo một trình tự nhất định. Quá trình này “nghịch lưu” (biến đổi ngược) dòng DC thành dòng AC 3 pha có tần số và biên độ mong muốn ở đầu ra để cấp cho động cơ.
- Điều khiển & Bảo vệ: Bộ vi xử lý liên tục giám sát các thông số vận hành (dòng điện, điện áp, nhiệt độ) và phát hiện các sự cố. Nếu có lỗi (như quá tải, mất pha), biến tần sẽ lập tức ngừng cấp điện để bảo vệ động cơ và chính nó.
10+ Lợi Ích Vượt Trội Của Việc Sử Dụng Biến Tần
Lợi ích lớn nhất của biến tần là tiết kiệm năng lượng (cập nhật mới nhất cho thấy có thể lên đến 20-50%), khởi động êm (giảm hao mòn cơ khí), bảo vệ động cơ toàn diện (quá tải, mất pha…), tăng hiệu suất sản xuất, và cải thiện hệ số công suất (Cos φ) cho hệ thống.
Sử dụng biến tần mang lại nhiều lợi ích vượt trội so với các phương pháp khởi động truyền thống như khởi động trực tiếp (DOL) hoặc mạch khởi động sao-tam giác:
1. Tiết kiệm năng lượng (20-50%)
Đây là lợi ích lớn nhất, đặc biệt với các tải bơm, quạt, máy nén khí. Biến tần điều chỉnh tốc độ động cơ theo nhu cầu thực tế của tải, giúp giảm điện năng tiêu thụ một cách đáng kể.
2. Khởi động êm & Giảm hao mòn cơ khí
Biến tần cho phép động cơ khởi động chậm (tăng tốc dần), loại bỏ hoàn toàn dòng khởi động đột ngột (có thể cao gấp 6-8 lần dòng định mức), tránh gây sụt áp hệ thống. Điều này làm tăng tuổi thọ của động cơ và các chi tiết cơ khí (hộp số, vòng bi, dây curoa).
3. Bảo vệ động cơ toàn diện
Biến tần tích hợp sẵn các tính năng bảo vệ điện tử thông minh: bảo vệ quá tải, quá áp, thấp áp, mất pha, kẹt rotor, quá nhiệt… mà không cần dùng thêm rơ-le nhiệt bên ngoài.
4. Tăng hiệu suất & Linh hoạt sản xuất
Khả năng điều khiển tốc độ chính xác và dễ dàng đảo chiều quay động cơ (chỉ bằng cài đặt) giúp tăng tính linh hoạt cho dây chuyền sản xuất.
5. Tích hợp truyền thông & Giám sát từ xa
Hầu hết biến tần hiện đại đều hỗ trợ các chuẩn truyền thông (như Modbus, Profibus) để kết nối với PLC, HMI, cho phép giám sát động cơ và điều khiển hệ thống từ xa.
6. Cải thiện hệ số công suất (Cos φ)
Biến tần có bộ lọc đầu vào giúp cải thiện đáng kể hệ số công suất (Cos φ) của hệ thống, giảm công suất phản kháng, tiết kiệm chi phí tiền điện (do phạt cos φ) và giảm tổn thất trên đường dây.
7. Giảm chi phí bảo trì
Nhờ khả năng khởi động êm và bảo vệ toàn diện, động cơ và thiết bị cơ khí ít gặp sự cố hơn, giảm thời gian dừng máy và chi phí cho dịch vụ bảo trì hệ thống điện.
8. Giảm ồn & Rung động
Việc động cơ vận hành ở tốc độ thấp hơn khi không cần tải tối đa giúp cải thiện môi trường làm việc, giảm tiếng ồn và rung động đáng kể.
Ứng Dụng Phổ Biến Của Biến Tần
Biến tần được ứng dụng rộng rãi trong công nghiệp, đặc biệt cho các tải cần điều khiển tốc độ và tiết kiệm điện như: bơm, quạt, máy nén khí, băng tải, cẩu trục, thang máy và các loại máy móc sản xuất chuyên dụng.
Nhờ những ưu điểm trên, biến tần được ứng dụng rộng rãi trong hầu hết các ngành công nghiệp và dân dụng:
- Tải bơm, quạt, HVAC, máy nén khí: Nơi có nhu cầu điều khiển lưu lượng/áp suất và tiết kiệm năng lượng là ưu tiên hàng đầu.
- Băng tải, băng chuyền, dây chuyền sản xuất: Cần đồng bộ tốc độ giữa các công đoạn hoặc thay đổi tốc độ linh hoạt.
- Tải nâng hạ, cẩu trục, thang máy: Yêu cầu moment khởi động lớn, quá trình khởi động/dừng êm ái và định vị chính xác.
- Máy móc chuyên dụng: Máy cán kéo, máy ép phun, máy dệt, máy trộn, máy quay ly tâm, máy công cụ (CNC)…
Hướng Dẫn Chọn Biến Tần Phù Hợp
Để chọn biến tần, cần dựa vào 4 yếu tố chính: 1. Điện áp và Công suất (phù hợp với động cơ), 2. Loại tải (nặng, nhẹ, hay trung bình là quan trọng nhất), 3. Môi trường vận hành, và 4. Yêu cầu điều khiển và thương hiệu.

Để chọn biến tần đúng kỹ thuật và tối ưu chi phí, bạn cần xem xét các yếu tố sau:
- Điện áp & Công suất: Phải phù hợp với điện áp lưới (ví dụ: 3 pha 380V) và các thông số trên mác động cơ (công suất (kW), dòng điện định mức (A)).
- Loại tải (Quan trọng nhất):
- Tải nhẹ (Bơm, quạt): Chọn biến tần có công suất bằng công suất động cơ.
- Tải trung bình (Băng tải, máy trộn): Có thể chọn công suất bằng hoặc lớn hơn 1 cấp.
- Tải nặng (Nâng hạ, cẩu trục, máy ép): Bắt buộc chọn biến tần có công suất lớn hơn động cơ 1-2 cấp để đảm bảo moment khởi động.
- Môi trường vận hành: Nơi có nhiệt độ cao, bụi bẩn, độ ẩm cao cần chọn các dòng biến tần chuyên dụng có tản nhiệt tốt, cấp bảo vệ (IP) cao.
- Yêu cầu điều khiển: Cần khởi động/dừng nhanh (cần điện trở xả), cần độ chính xác tốc độ cao (cần encoder phản hồi), hay chỉ cần chạy/dừng cơ bản?
- Tính năng tích hợp: Xem xét các module truyền thông, bộ lọc EMC tích hợp, màn hình rời.
- Thương hiệu: Tùy vào ngân sách và độ tin cậy yêu cầu (ví dụ: INVT, Delta, LS, Fuji, Schneider, Mitsubishi, ABB, Siemens…).
Việc lựa chọn và lắp đặt hệ thống điện hạ thế liên quan đến biến tần cần được thực hiện bởi các kỹ sư có chuyên môn để đảm bảo an toàn và hiệu quả.
Sử Dụng Biến Tần Có Khó Không? (Và Dịch Vụ Sửa Chữa)
Câu trả lời là tùy thuộc vào ứng dụng: Sử dụng biến tần khá đơn giản cho các ứng dụng cơ bản (bơm, quạt) chỉ cần cài đặt vài thông số. Tuy nhiên, nó sẽ phức tạp hơn và cần kỹ thuật viên chuyên môn cho các hệ thống máy móc chuyên dụng hoặc tự động hóa cao.
Câu trả lời là tùy thuộc vào ứng dụng:
- Ứng dụng đơn giản (bơm, quạt, băng tải): Việc lắp đặt và vận hành khá đơn giản. Chỉ cần cài đặt các thông số cơ bản (bật/tắt, tần số mong muốn, thời gian tăng tốc/giảm tốc). Kỹ thuật viên của nhà cung cấp có thể hướng dẫn dễ dàng.
- Máy móc chuyên dụng & Hệ thống tự động hóa cao: Yêu cầu kỹ thuật viên am hiểu về công nghệ máy hoặc có kiến thức về PLC, truyền thông công nghiệp để cài đặt các thông số nâng cao.
Dù đơn giản hay phức tạp, biến tần vẫn là thiết bị điện tử công suất và có thể gặp sự cố sau thời gian dài hoạt động. Khi gặp hỏng hóc, việc kiểm tra và thay thế linh kiện cần chuyên môn cao.
Tại KTH Electric, chúng tôi cung cấp dịch vụ bảo trì và sửa chữa biến tần nhanh chóng, chuyên nghiệp. Đội ngũ kỹ sư giàu kinh nghiệm của chúng tôi sẽ giúp chẩn đoán lỗi và đưa hệ thống của bạn sớm hoạt động trở lại.

Ông Đỗ Tấn Tuấn là người trực tiếp phụ trách toàn bộ nội dung trên website kth-electric.com. Các bài viết được xây dựng từ nguồn kiến thức chuyên sâu, kết hợp giữa tài liệu tham khảo uy tín (có trích dẫn cụ thể) và kinh nghiệm thực tiễn dày dặn của ông. Vì vậy, bạn đọc có thể hoàn toàn tin tưởng vào tính chính xác và độ tin cậy của thông tin, đảm bảo mỗi nội dung chia sẻ đều mang lại giá trị tham khảo hữu ích và đáng tin cậy.

